近期,国际权威期刊《Environmental Microbiology》和《Scientific Reports》先后发表了437bwin必赢国际官网、微生物代谢国家重点实验室何亚文课题组两篇研究论文:Identification and Characterization of Naturally Occurring DSF-Family Quorum Sensing Signal Turnover System in the PhytopathogenXanthomonas;The Multiple DSF-family QS Signals are Synthesized from Carbohydrate and Branched-chain Amino Acids via the FAS Elongation Cycle。
从上世纪八十年代开始,科学家们开始意识到细菌虽然结构简单,但它们也有自己的语言和联络机制,许多细菌通过产生和分泌信号小分子作为语言进行交流。群体感应(quorum sensing)是细菌之间相互交流的一种重要方式,这一机制使细菌能感应自身群体的密度,从而调控相关基因的表达。何亚文课题组一直致力于农作物病原黄单胞菌联络机制的研究,发现该病原菌能够分泌一种长链不饱和脂肪酸(diffusible signal factor,简称DSF)作为语言进行交流,该课题组还阐明了DSF的化学结构、生物学功能和基因表达调控网络,研究成果受到国内外同行的高度关注(FEMS Microbiology Reviews,32: 842-857)。

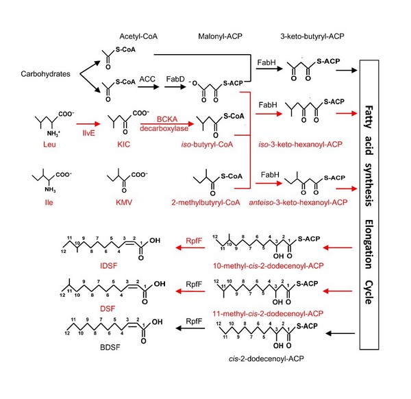
进一步的研究中课题组建立了更灵敏的DSF检测方法,鉴定了四种DSF家族群体感应信号(DSF,BDSF, CDSF和IDSF)的结构,发现DSF合成酶RpfF同时具有脱水酶和硫酯酶的双重功能,阐明了DSF、BDSF和IDSF的生物合成前体,建立了DSF家族信号分子的生物合成途径。
在此基础上,何亚文课题组进一步发现黄单胞菌能够根据感应群体密度及时、有效地控制DSF语言的产生和沉默,诱导细菌进入和退出群体感应状态,适应环境或释放致病因子。在这一过程中,一个编码酯酰辅酶A连接酶的基因rpfB起关键作用:在细菌生长后期,高浓度DSF信号诱导rpfB基因显著表达;RpfB能有效降解DSF信号,导致细菌及时退出群体感应状态;rpfB的表达受到全局性转录因子Clp和二级信使cyclic-di-GMP的调控,敲除rpfB导致病原菌的致病性提高。这两项研究成果为进一步阐明黄单胞菌的致病机理和开发新型生物防治方法奠定了理论基础。
该研究得到国家自然科学基金(No. 31272005,No. 31471743, No. 31301634)和农业部公益性行业专项(No. 201303015)资助。第一完成人分别是周莲副研究员和博士研究生王杏雨。